Questões de Concursos UFF

Resolva questões de UFF comentadas com gabarito, online ou em PDF, revisando rapidamente e fixando o conteúdo de forma prática.

Filtrar questões
💡 Caso não encontre resultados, diminua os filtros.

121Q119531 | Informática , MVC, Analista de Tecnologia da Informação, UFF, UFF

Em relação aos padrões de projeto, o modelo MVC, que foi originalmente desenvolvido pela IBM, apresenta um modelo em três camadas. São elas:

  1. ✂️
  2. ✂️
  3. ✂️
  4. ✂️
  5. ✂️

122Q193322 | Finanças, Gestão de Riscos, Administrador, UFF, UFF

O risco que afeta especificamente um único ativo ou um pequeno grupo de ativos é denominado:

  1. ✂️
  2. ✂️
  3. ✂️
  4. ✂️
  5. ✂️

123Q216627 | Veterinária, Clínica, Médico Veterinária, UFF, UFF

São sinais clínicos de uveítes os abaixo relacionados, EXCETO:

  1. ✂️
  2. ✂️
  3. ✂️
  4. ✂️
  5. ✂️

124Q366599 | Enfermagem, Enfermeiro, UFF, UFF

Dentre as responsabilidades do enfermeiro descritas no Código de Ética Profissional, quanto às atribuições administrativas, aponta-se:
  1. ✂️
  2. ✂️
  3. ✂️
  4. ✂️
  5. ✂️

125Q121657 | Sistemas Operacionais , Sistemas Operacionais, Analista de Tecnologia da Informação, UFF, UFF

Em relação aos sistemas operacionais, para que uma operação possa executar uma instrução privilegiada, o processador implementa o mecanismo de modos de acesso. Esse mecanismo está dividido basicamente em dois modos de acesso conhecidos por:

  1. ✂️
  2. ✂️
  3. ✂️
  4. ✂️
  5. ✂️

126Q5023 | Português, Guarda Parques, INEA, UFF

Texto associado.
Áreas Naturais Protegidas
No trecho “Os guarda-parques obedecem rigidamente às leis ambientais das unidades de conservação.”, o sinal indicativo da crase foi empregado pela mesma razão que em:
  1. ✂️
  2. ✂️
  3. ✂️
  4. ✂️
  5. ✂️

127Q362282 | Enfermagem, Enfermeiro, UFF, UFF

Para um paciente diabético, foram prescritas 5 U de insulina NPH. Como no hospital só há seringas de 80 U/mL e frascos de insulina NPH contendo 40 U/mL, o enfermeiro deverá aspirar:
  1. ✂️
  2. ✂️
  3. ✂️
  4. ✂️
  5. ✂️

128Q5016 | Português, Guarda Parques, INEA, UFF

Texto associado.
Áreas Naturais Protegidas
Na frase “Nessa época eram considerados silvestres SE não possuíssem populações humanas;” (parágrafo 2), o conector destacado tem o valor semântico de:
  1. ✂️
  2. ✂️
  3. ✂️
  4. ✂️
  5. ✂️

129Q159045 | Redação Oficial, Pronomes de tratamento, Assistente Administrativo, UFF, UFF

No Manual de Redação da Presidência da República está estabelecido um vocativo específico a ser utilizado no tratamento de comunicações dirigidas às autoridades. A opção em que essa relação está feita de modo correto é:

  1. ✂️
  2. ✂️
  3. ✂️
  4. ✂️
  5. ✂️

130Q25213 | Química, Vestibular UFF, UFF, UFF

Uma carreta especial para transporte de substâncias corrosivas tombou na descida da Serra das Araras. Como consequência desse acidente, houve derramamento de ácido sulfúrico. Sabe-se que esse ácido é neutralizado com CaO.

Considerando que a concentração do ácido derramado é de 98,00 % peso por peso e sua densidade é de 1,84 g/mL, calcule a massa aproximada de CaO necessária para neutralizar 1000 L do ácido derramado.
  1. ✂️
  2. ✂️
  3. ✂️
  4. ✂️
  5. ✂️

131Q248824 | Geografia, Hidrologia, Técnico de Laboratório Geografia, UFF, UFF

Quando um rio exerce uma ação erosiva, constroi um vale; quando realiza uma deposição, forma um(a):

  1. ✂️
  2. ✂️
  3. ✂️
  4. ✂️
  5. ✂️

132Q216027 | Veterinária, Clínica, Médico Veterinária, UFF, UFF

Em relação à insuficiência cardíaca crônica, é correto afirmar que:

  1. ✂️
  2. ✂️
  3. ✂️
  4. ✂️
  5. ✂️

133Q215889 | Veterinária, Clínica de Bovinos, Médico Veterinária, UFF, UFF

Os quadros de endotoxemia são frequentes em bovinos e causados principalmente pela liberação de lipopolissacarídeos de membranas externas das bactérias gram negativas. Os efeitos da endotoxemia incluem:

  1. ✂️
  2. ✂️
  3. ✂️
  4. ✂️
  5. ✂️

134Q25224 | Biologia, Vestibular UFF, UFF, UFF

Podendo chegar até vinte metros de comprimento, o tubarão-baleia é o maior representante dos peixes.
Qualquer criatura marinha com esse tamanho é normalmente muito temida, mas por causa de sua dieta basicamente planctônica ele não oferece ameaça ao homem. Entretanto, outros membros de sua superordem já causaram acidentes a vários banhistas nas praias.

Com relação à dieta do tubarão-baleia, pode-se afirmar que ele come, principalmente:
  1. ✂️
  2. ✂️
  3. ✂️
  4. ✂️
  5. ✂️

135Q249251 | Geografia, Técnico de Laboratório Geografia, UFF, UFF

Os satélites artificiais cada vez mais fazem parte do dia a dia da vida das pessoas. Por meio deles recebem-se imagens e notícias do mundo inteiro. Essas imagens são resultado do:

  1. ✂️
  2. ✂️
  3. ✂️
  4. ✂️
  5. ✂️

136Q5019 | Português, Guarda Parques, INEA, UFF

Texto associado.
Áreas Naturais Protegidas
Em “... não POSSUÍSSEM populações humanas;” (parágrafo 2), a palavra destacada segue a mesma regra de acentuação que:
  1. ✂️
  2. ✂️
  3. ✂️
  4. ✂️
  5. ✂️

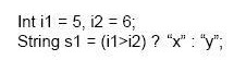
137Q120660 | Programação , Java, Analista de Tecnologia da Informação, UFF, UFF

Analise o seguinte trecho de código na linguagem Java:

Imagem 011.jpg

Após rodar o trecho de código acima apresentado, o valor atribuído a s1 será:

  1. ✂️
  2. ✂️
  3. ✂️
  4. ✂️
  5. ✂️

138Q249565 | Geografia, Relevo, Técnico de Laboratório Geografia, UFF, UFF

Entre as forças internas e externas que modificam a superfície terrestre, há algumas que o fazem num curto período do tempo (1) e outras que podem alterá-la ao longo de milhares de anos (2). São exemplos da situação (1) e (2), respectivamente:

  1. ✂️
  2. ✂️
  3. ✂️
  4. ✂️
  5. ✂️

139Q120138 | Informática , Memória, Analista de Tecnologia da Informação, UFF, UFF

Em relação à gerência de memória, a estratégia para a escolha da partição livre para a carga de um programa, visando à minimização ou eliminação do problema da fragmentação, segue três mecanismos. Desses mecanismos, um deles é mais rápido, consumindo menos recursos do sistema. Esse mecanismo é conhecido como:

  1. ✂️
  2. ✂️
  3. ✂️
  4. ✂️
  5. ✂️

140Q119475 | Português, Interpretação de Textos, Analista de Tecnologia da Informação, UFF, UFF

Texto associado.

Leia o texto abaixo e responda às questões
propostas.


1 Entender a saúde como grau zero de malestar
permitiu uma grande invenção do século XX,
que foi a previdência social. Se a saúde é a nãodoença,
então sabemos exatamente do que cada
qual necessita para curar-se. A sociedade, assim,
se responsabiliza por tais tratamentos de saúde.
Isso é moral e justificável. Aliás, é quase consenso
que uma das maiores falhas dos Estados Unidos é
não terem um sistema de saúde como o europeu e
o canadense.
2 Contudo, com os avanços da medicina e a
nova idéia de saúde surgem problemas. Antes de
mais nada, até onde vai minha responsabilidade
pela saúde dos outros? Se alguém adoece ou se
fere por decisão própria, deve a sociedade arcar
com suas despesas? Não penso no caso da
tentativa de suicídio, porque esta pode decorrer de
um sofrimento psíquico tão intenso que justifica a
sociedade tratar não só os danos físicos, mas a
causa íntima deles. No entanto,no caso de quem
fuma ou bebe, deve a sociedade custear as
doenças que ele terá a mais do que o não-fumante
ou o não-alcoólico? Ou deveriam essas pessoas,
alertadas há anos dos custos que despejam sobre
seus concidadãos, arcar com eles ou com um
pagamento suplementar de seguro-saúde? É
possível, hoje, estabelecer melhor que no passado
o grau de responsabilidade de cada pessoa nas
mazelas sociais. Vemos isso nos seguros de carro:
os rapazes de 18 a 24 anos são os maiores
causadores de acidentes, portanto quem está nessa
faixa paga um prêmio maior. Todavia, se ao fim de
um ano ou dois ele mostrar que não gerou custos
para a seguradora, provavelmente começará a
ganhar bônus. Esse modelo possivelmente se
ampliará para a saúde.
3 O segundo problema está ligado à expansão
da saúde para um a mais. Uma coisa é curar ou
sarar, outra é dar vantagens - como o que se
chama wellness - que as pessoas antes não
tinham ou que não estão na previsão usualde
nossa vida e de sua qualidade. Aqui, para além do
valor altamente moral da saúde como não-doença,
entram elementos que podem ser da ordem da
vaidade, ou do gosto pelo próprio corpo, ou de certa
felicidade. É difícil separar o que é vaidade, o que é
felicidade, e talvez se esmerar em distingui-los
indique apenas uma atitude moralista no pior
sentido do termo. Mas cada vez mais pessoas hão
de querer não apenas realizar cirurgias plásticas,
como também ampliar seu tempo de vida
sexualmente ativa, sua capacidade física e outras
qualidades que, longe de nos reconduzirem à média
zero do histórico humano, vão nos levar - permitam
a citação de Toy Story - "para o infinito e além".
Ora, se a "medicina da cura" tem custos diferentes
conforme o perfil de saúde e doença dos pacientes,
a "medicina do mais" tem custos diferentes
conforme o que o indivíduo almeja. Naquele caso, o
custo depende de onde se parte; neste, de aonde
se quer chegar. Podemosmodelar nosso corpo e
nossa vida, mais que no passado. E quem paga por
isso?
4 Aqui, a ideia de um custeio social - que na
verdade é um rateio, porque como contribuintes
pagamos aquilo que vamos desfrutar como
cidadãos - fica mais difícil. Uma coisa é ratearmos
o custo de operações de câncer, de tratamento de
doenças caras. Outra é ratearmos o sonho de corpo
de cada um. O rateio funciona quando o desejo se
reduz ao de zerar a dor. Esse desejo baixo, mínimo
("só quero parar de sentir dor") admite que,
moralmente, todos paguemos por ele. Entretanto,
alguém de nós aceitaria ratear uma operação para
alguém que quer ampliar o busto, aumentar o pênis
ou simplesmente ter uma condição física superior à
média? Não creio.
5 O melhor exemplo é o do Viagra. É
perfeitamente legítimo um Estado de bem-estar
social, como os europeus, fornecê-lo a idosos que
sentem dificuldade em ter ou manter a ereção. Mas
quantos comprimidos azuis por semana? Por que
um e nãodois, três, sete? Não há mais medida,
porque nosso metro moral e previdenciário era o
zero, a não-dor. O orgasmo não se encaixa nesse
modelo. Por melhor que uma relação sexual seja
para a saúde das pessoas, não sabemos qual
número seria o adequado.
6 O caso do sexo tem um elemento irônico,
ademais. Quase todos sabem como é forte, no
desejo sexual, a transgressão. Daí a atração do
fruto proibido. E como fica se o Estado me fornece
os meios de ter relações sexuais? Não se
burocratiza o imaginário em torno do sexo? "O sr. já
recebeu seus comprimidos do mês. O próximo, por
favor!" Talvez o Viagra só funcione de verdade se
for comprado ou, como dizem os baianos sobre as
fitas do Bonfim, se você o ganhar de alguém - ou
roubar
Imagem 002.jpg

Em: "O caso do sexo tem um elemento irônico, ademais" (6º parágrafo), a palavra "ademais" está empregada para:

  1. ✂️
  2. ✂️
  3. ✂️
  4. ✂️
  5. ✂️
Utilizamos cookies e tecnologias semelhantes para aprimorar sua experiência de navegação. Política de Privacidade.