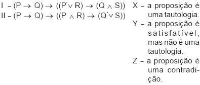
Dadas as proposições atômicas P, Q e R do cálculo proposicional, afirma-se que
Considere uma pergunta e duas informações, as quais assumiremos como verdadeiras.
Pergunta: João é mais alto do que Nuno?
Informação 1: João é mais alto do que Luís.
Informação 2: Nuno é mais alto do que Luís.
A partir desses dados, conclui-se que:
Considere o conjunto
de conectivos lógicos da lógica sentencial. Por definição, um conjunto de operadores B é completo se somente se todos os operadores de A podem ser expressos em função do(s) operador(es) de B. Analise as afirmativas a seguir
Conclui-se que
Associe as proposições da lógica sentencial na coluna da direita, onde P e Q são predicados atômicos, às explicações na coluna da esquerda.
As associações corretas são:
Dadas as proposições da lógica sentencial e as explicações, associe a coluna da direita com a coluna da esquerda
As associações corretas são: