Considere a seguinte situação hipotética: um canal estreito entre o continente e uma ilha encontra-se completamente assoreado e, com o objetivo de restabelecer sua circulação interna, um projeto de dragagem será realizado. Sabe-se que a maré astronômica é o único agente hidrodinâmico local e que a defasagem de tempo da elevação da maré entre as duas extremidades do canal é de 10 minutos. Com base na teoria de ondas de pequenas amplitudes e considerando desprezível a influência da amplitude de maré na profundidade do canal, de quantos metros deve ser a profundidade mínima (h) que este canal deve ter após a dragagem, de forma que a maré crie um sentido único de escoamento ao longo do canal em cada ciclo?
Questões de Concursos
selecione os filtros para encontrar suas questões de concursos e clique no botão abaixo para filtrar e resolver.
Com relação às ondas, suas propriedades e aos vários aspectos relacionados aos fenômenos ondulatórios, julgue o item.
Ondas no oceano geradas pelo vento, ao atingirem profundidade menor que a metade de seu comprimento de onda, passam a transportar matéria (sedimentos).
Os ciclos dos elementos químicos e das substâncias estão inter-relacionados com processos biológicos, geoquímicos e físicos. A respeito desse assunto, julgue o próximo item.
Os principais processos que envolvem o ciclo do nitrogênio na água são fixação do nitrogênio (N) , em que o N2 (gás) e a energia química são transformados em amônio; nitrificação, em que o nitrato, por redução, é transformado em N2; desnitrificação, na qual as formas reduzidas, como amônio, são transformadas em nitrito ou nitrato (gás); assimilação, em que nitrogênio inorgânico dissolvido (amônio, nitrato ou nitrito) é incorporado em compostos orgânicos; excreção, processo em que animais excretam nitrogênio sob a forma de amônio, ureia ou ácido úrico.
A circulação nos oceanos é impulsionada pela energia do sol e modificada pela rotação da Terra. A respeito desse assunto, julgue o item a seguir.
A força de Coriolis atua em ângulo de 45º com a direção do movimento. A magnitude dessa força aumenta a partir de zero, no equador, para um valor máximo, nos polos. Essa força é proporcional à velocidade da partícula em relação à Terra, e, se não há velocidade, não há força de Coriolis
No final do mês de abril, o Estado do Rio de Janeiro registrou uma forte ressaca em sua costa, o que tornou o banho nas praias uma prática não recomendada em virtude das grandes ondas que nelas quebravam. Neste evento em particular, as ondas entraram na Baía de Guanabara e causaram acidentes e interrupções significativas no transporte por barcas entre as cidades do Rio de Janeiro e Niterói. Considerando que o tempo durante os dias de ressaca era bom, julgue as afirmações a seguir.
I - As ondas que atingiram o Rio de Janeiro são chamadas de marulhos, pois foram geradas por condições meteorológicas distintas das locais.
II - A amplitude das ondas geradas pelo vento depende apenas da intensidade e da duração do vento.
III - A julgar pela direção dos marulhos incidentes, uma hipótese plausível é que tenham sido gerados por ciclones extra-tropicais no Oceano Atlântico.
IV- A difração consiste no principal processo de transformação por que passam os marulhos ao sofrer a influência do fundo oceânico.
Está(ão) correta(s) SOMENTE a(s) afirmação(ões)

No caso de um vazamento acidental de hidrocarbonetos, suas propriedades físico-químicas, associadas às condições meteo-oceanográficas do local, determinarão a trajetória e o comportamento do vazamento. A tabela acima apresenta algumas propriedades de dois óleos distintos, lançados ao mar num vazamento hipotético. Considerando os valores da tabela, as mesmas condições meteo-oceanográficas e o mesmo volume, conclui-se que o(s) óleo(s)
De grande importância para a meteorologia e a oceanografia dinâmica, a geostrofia expressa o equilíbrio entre a Força de Coriolis e a Força Gradiente de Pressão em fluidos sob rotação. A esse respeito, julgue as afirmações abaixo.
I - O fluxo geostrófico é normal às isóbaras e sua velocidade é diretamente proporcional ao gradiente de pressão.
II - No oceano, as equações do movimento geostrófico baroclínico podem ser avaliadas experimentalmente através de seções de perfis de densidade p(z) estimados a partir de pares de temperatura e salinidade obtidos por CTD em estações oceanográficas.
III - Os movimentos geostróficos explicam porque, no Hemisfério Sul, os ventos e correntes têm giro ciclônico em torno de centro de alta pressão e giro anticiclônico em torno de centro de baixa pressão.
IV - O equilíbrio geostrófico é válido para o caso em que o Número de Rossby do escoamento é muito menor que um.
Está(ão) correta(s) SOMENTE a(s) afirmação(ões
As interações entre o oceano e a atmosfera têm um papel importante na troca de gases. Nas últimas décadas, a quantidade de dióxido de carbono (CO2) na atmosfera vem aumentando em função, dentre outros fatores, das emissões oriundas da queima de combustíveis fósseis. Qual o efeito que o aumento do dióxido de carbono na atmosfera terá sobre os oceanos?
Com relação aos efeitos de substâncias em organismos e ambientes, julgue o próximo item.
A ocorrência de total precipitação de uma substância presente em águas do mar, mesmo que em baixas concentrações, provoca a formação de partículas coloidais de maior tamanho e a formação de uma fase sólida visível.
A respeito das correntes de contorno oeste, julgue o item que se segue.
Uma das características da corrente do Brasil é a formação de meandros e vórtices na região entre o banco de Abrolhos e Cabo de Frio, na qual os vórtices permanecem em revolução, se deslocando através da vorticidade potencial.
As características direcionais das ondas do mar são informações de grande relevância em numerosos campos da ciência e da engenharia. No desenvolvimento e validação de modelos de previsão, no estudo de interações oceano-atmosfera, na estimativa do transporte de sedimento em regiões costeiras, no projeto de estruturas e obras marítimas, os parâmetros de direção média e distribuição relativa da energia subsidiam uma vasta gama de aplicações. A obtenção de informações direcionais de onda é feita atualmente por uma grande variedade de técnicas de medição e de análise de dados. A esse respeito, considere as seguintes estratégias de medição:
I - séries de pitch, heave e roll, medidas por ondógrafo;
II - 4 séries de elevação do nível do mar, obtidas por wave-staffs dispostos perpendicularmente dois a dois;
III - séries de deslocamentos nos eixos x, y e z, medidas por acelerômetros instalados em uma bóia de superfície;
IV - séries de pressão e de componentes de velocidade u e v, obtidas por um ADCP instalado no fundo oceânico, voltado para a superfície.
Permite(m) a análise direcional de ondas a(s) estratégia(s)
A água do mar é uma solução química na qual o solvente (96,5%) é a água e os solutos são íons, gases dissolvidos, compostos orgânicos, metais, entre outros. Esses elementos podem ser caracterizados como conservativos e não conservativos. Considerando essas informações e os múltiplos aspectos a elas relacionados, julgue o item subsecutivo.
Os poluentes não conservativos são os que mais são lançados nos mares e caracterizam-se pelo seu alto tempo de residência no ambiente aquático, se comparados com os outros.
O Transporte Líquido de Ekman na coluna d´água ocorre em um ângulo reto ao cisalhamento do vento e à sua direita no hemisfério norte e à sua esquerda no hemisfério sul. Pela Teoria Clássica de Ekman, este transporte é dependente, exclusivamente, da(o)
As necessidades navais decorrentes da guerra submarina contribuíram para o desenvolvimento de sensores oceanográficos. Com base nessa informação, julgue o item seguinte.
O ADCP (acoustic doppler current profiler), que é um perfilador acústico utilizado apenas para medição da velocidade de correntes, atua por meio da transmissão de um sinal sonoro que é refletido de volta para o aparelho pelas partículas em suspensão.
Com relação às caraterísticas físicas da água do mar e à distribuição da água marinha no globo, julgue o item .
Considere que o gráfico abaixo representa a localização entre 50º N e 40º S nos oceanos Pacífico e Atlântico. Nessa situação, é correto afirmar que, no gráfico, a linha tracejada corresponde ao oceano Pacífico e que a linha contínua corresponde ao oceano Atlântico.

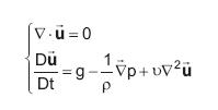
Toda descrição matemática para escoamentos ambientais deve obedecer aos fundamentos básicos da Mecânica dos Fluidos. Em relação às Equações de Navier-Stokes, representadas acima em notação vetorial, assinale a afirmação INCORRETA.
Julgue o item a seguir, relativo à oceanografia biológica.
Os dados da cor do oceano obtidos por satélites permitem estimar as concentrações de clorofila na superfície do mar, não possibilitando, contudo, observar feições biológicas de sistemas dinâmicos, como os grandes giros subtropicais, as frentes oceânicas, as ressurgências e os vórtices de mesoescala.
Os ciclos dos elementos químicos e das substâncias estão inter-relacionados com processos biológicos, geoquímicos e físicos. A respeito desse assunto, julgue o próximo item.
A eutroficação é um processo que pode ocorrer naturalmente nos ambientes aquáticos e caracteriza-se pela entrada excessiva de nutrientes no sistema, acarretando aumento das taxas de produção primária e de geração de biomassa, pela alteração dos processos sedimentares e alteração na diversidade biológica local.
Julgue o item a seguir, relativo à oceanografia biológica.
No Brasil, localizam-se os únicos recifes coralíneos do Atlântico Sul, havendo no banco dos Abrolhos todas as espécies que habitam os substratos recifais do país, assim como os quatro grandes grupos de corais — corais pétreos, corais de fogo, octocorais e corais negros.
Com relação às ondas, suas propriedades e aos vários aspectos relacionados aos fenômenos ondulatórios, julgue o item.
O período das ondas geradas em águas profundas diminui quando as ondas atingem as regiões mais rasas, devido ao atrito e à modificação da velocidade das ondas nessas regiões.