Eis um campo de batalha. Os retângulos são soldados dispostos em lados opostos (acima e abaixo do eixo horizontal), cada um em seu exército. Há três níveis crescentes de poder dos soldados em cada exército. A primeira linha, próxima ao eixo, determina poder 4 para cada soldado de cada exército; na linha intermediária, o nível de poder é 2 para cada soldado de cada exército; e, na terceira linha, a mais afastada, o poder é 1 para cada soldado de cada exército.
Esta representação mostra a soberania de um exército em relação ao outro.
Uma representação equivalente a essa é
TJSP e Correios ratificam contrato de postagem digital V-Post
Em busca de encurtar os prazos de cumprimento, proporcionar agilidade e controle virtual na tramitação dos dados, o Tribunal de Justiça de São Paulo firmou um contrato com a Empresa Brasileira de Correios e Telégrafos para implantação do AR digital V-Post, um tipo de citação e intimação por carta totalmente virtual. Com a nova ferramenta, o TJSP ganha mais rapidez no envio das informações, além da economia de recursos com papel, envelopes, impressão e de pessoal.
Antes do V-Post, o cartorário emitia a carta de citação e intimação pelo sistema informatizado, providenciava a impressão e a assinatura manual. Na sequência, a carta era envelopada, colada e entregue ao setor administrativo para remessa aos Correios.
Com o V-Post, basta que o juiz assine digitalmente o despacho que determina a citação ou intimação por carta para que o sistema do Tribunal emita e envie automaticamente a carta virtual ao sistema dos Correios. Lá, ela será impressa e entregue ao carteiro. Após a entrega da carta, o comprovante será digitalizado pelos Correios e retornará virtualmente ao Tribunal, juntado eletronicamente ao processo para análise do cartório.
José Furian Filho, vice-presidente de Negócios da Empresa Brasileira de Correios e Telégrafos, explicou um pouco sobre o serviço e os benefícios que a parceria traz para o Tribunal. Trata-se de uma saudável parceria entre os Correios e o TJSP, destinada à modernização tecnológica do Poder Judiciário. Todo o ciclo se processa através da tecnologia da informação, garantindo a segurança e a confidencialidade das informações. V-post, batizado assim, é um serviço vitorioso e implementado em outros Estados mediante parceria com outros tribunais. Trará, com certeza, vários benefícios para o TJSP, tais como solução digital completa, relacionamento com um único fornecedor, garantia de segurança e confidencialidade, redução de custos dos cartórios e melhor aproveitamento dos recursos existentes, disse.
Feliz pela parceria celebrada com os Correios, o presidente do TJSP, desembargador Ivan Sartori, falou que a ferramenta permite um melhor aproveitamento da tecnologia voltada aos interesses do cidadão. Com essa parceria, os procedimentos se tornam muito mais céleres e fáceis. É a modernidade chegando. Nós tínhamos um modelo arcaico que demandava um período longo. Com o AR digital V-Post, conseguiremos efetivamente cumprir com rapidez essa etapa processual, que é uma etapa difícil e complicada. Essa parceria traz um novo alento para o Tribunal e a melhora dos nossos serviços.
(Disponível em http://www.tjsp.jus.br/Institucional/CanaisComunicacao/ Noticias/Noticia.aspx?Id=15379. Acesso em 22.08.2012. Com cortes)
Considere o trecho a seguir. Em busca de encurtar os prazos de cumprimento, proporcionar agilidade e controle virtual na tramitação dos dados, o Tribunal de Justiça de São Paulo firmou um contrato com a Empresa Brasileira de Correios e Telégrafos para implantação do AR digital V-Post, um tipo de citação e intimação por carta totalmente virtual.
Assinale a alternativa em que o trecho está corretamente reescrito, no que se refere à pontuação e à concordância, e com o sentido preservado.
Lista do tipo LIFO (Last in, First Out) e lista do tipo FIFO (Firstin,First Out) são, respectivamente, características das estruturas de dados denominadas
O Enterprise Architect versão 9 fornece suporte para a geração de BPEL a partir de modelos BPMN na edição
As cotas raciais em universidades brasileiras são constitucionais, decidiram ontem, por unanimidade, ministros do Supremo Tribunal Federal. A partir desta decisão, o Brasil tem mais um motivo para se olhar no espelho da história e não corar de vergonha, disse o presidente do Supremo, Carlos Ayres Britto.
(Folha de S.Paulo 27.04.2012. Adaptado)
Sobre o entendimento da legalidade do sistema de cotas, é correto afirmar que
Na especificação de uma tabela fato de um modelo multidimensional de um data warehouse, é importante definir o grau de detalhamento de seus valores. A denominação utilizada para tal detalhamento é
Há diversas formas de se classificar a informação, de acordo com o seu grau de sigilo. Segundo o Governo Brasileiro (decreto 4.553), informações sigilosas devem obedecer à seguinte escala:
Quando se trata das forças do governo sírio, existe uma relação muito complexa e pouco clara entre os militares, as milícias, as agências de inteligência e os vários centros de poder que os controlam. Esta é uma das razões pelas quais é tão difícil determinar responsabilidades por massacres como o que ocorreu na última sexta-feira, em Houla, e porque o presidente da Síria, Bashar al-Assad, tem sido capaz de manter uma aparência de respeitabilidade enquanto nega qualquer culpa pelas atrocidades recentes.
(Folha de S.Paulo, 30.05.2012. Adaptado)
Sobre os desdobramentos da situação na Síria, é correto afirmar que
TJSP e Correios ratificam contrato de postagem digital V-Post
Em busca de encurtar os prazos de cumprimento, proporcionar agilidade e controle virtual na tramitação dos dados, o Tribunal de Justiça de São Paulo firmou um contrato com a Empresa Brasileira de Correios e Telégrafos para implantação do AR digital V-Post, um tipo de citação e intimação por carta totalmente virtual. Com a nova ferramenta, o TJSP ganha mais rapidez no envio das informações, além da economia de recursos com papel, envelopes, impressão e de pessoal.
Antes do V-Post, o cartorário emitia a carta de citação e intimação pelo sistema informatizado, providenciava a impressão e a assinatura manual. Na sequência, a carta era envelopada, colada e entregue ao setor administrativo para remessa aos Correios.
Com o V-Post, basta que o juiz assine digitalmente o despacho que determina a citação ou intimação por carta para que o sistema do Tribunal emita e envie automaticamente a carta virtual ao sistema dos Correios. Lá, ela será impressa e entregue ao carteiro. Após a entrega da carta, o comprovante será digitalizado pelos Correios e retornará virtualmente ao Tribunal, juntado eletronicamente ao processo para análise do cartório.
José Furian Filho, vice-presidente de Negócios da Empresa Brasileira de Correios e Telégrafos, explicou um pouco sobre o serviço e os benefícios que a parceria traz para o Tribunal. Trata-se de uma saudável parceria entre os Correios e o TJSP, destinada à modernização tecnológica do Poder Judiciário. Todo o ciclo se processa através da tecnologia da informação, garantindo a segurança e a confidencialidade das informações. V-post, batizado assim, é um serviço vitorioso e implementado em outros Estados mediante parceria com outros tribunais. Trará, com certeza, vários benefícios para o TJSP, tais como solução digital completa, relacionamento com um único fornecedor, garantia de segurança e confidencialidade, redução de custos dos cartórios e melhor aproveitamento dos recursos existentes, disse.
Feliz pela parceria celebrada com os Correios, o presidente do TJSP, desembargador Ivan Sartori, falou que a ferramenta permite um melhor aproveitamento da tecnologia voltada aos interesses do cidadão. Com essa parceria, os procedimentos se tornam muito mais céleres e fáceis. É a modernidade chegando. Nós tínhamos um modelo arcaico que demandava um período longo. Com o AR digital V-Post, conseguiremos efetivamente cumprir com rapidez essa etapa processual, que é uma etapa difícil e complicada. Essa parceria traz um novo alento para o Tribunal e a melhora dos nossos serviços.
(Disponível em http://www.tjsp.jus.br/Institucional/CanaisComunicacao/ Noticias/Noticia.aspx?Id=15379. Acesso em 22.08.2012. Com cortes)
Em os procedimentos se tornaram muito mais céleres e fáceis o termo destacado apresenta como antônimo:
Dentre as principais estratégias de alocação do espaço de memória física de um computador nos sistemas com multiprocessos, têm-se a
No dia 14 de maio, o candidato favorito para vencer as eleições presidenciais francesas de 2012 foi preso dentro de um avião que decolaria de Nova York para Paris, onde se reuniria com autoridades internacionais. Sua prisão ocorreu porque uma camareira o acusou de estupro. Apesar de declarar-se inocente, foi obrigado a usar tornozeleira eletrônica com GPS.
Esse político chama-se
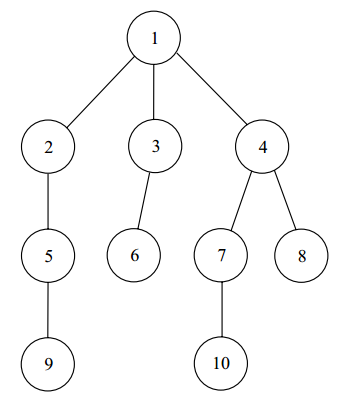
A estrutura de dados a seguir é do tipo árvore, representada pelos nós de 1 a 10, sendo o nó 1 a raiz da árvore.
Caso seja utilizado o algoritmo de busca denominado Breadth-First Search (BFS), a ordem com que os nós são buscados é:
TJSP e Correios ratificam contrato de postagem digital V-Post
Em busca de encurtar os prazos de cumprimento, proporcionar agilidade e controle virtual na tramitação dos dados, o Tribunal de Justiça de São Paulo firmou um contrato com a Empresa Brasileira de Correios e Telégrafos para implantação do AR digital V-Post, um tipo de citação e intimação por carta totalmente virtual. Com a nova ferramenta, o TJSP ganha mais rapidez no envio das informações, além da economia de recursos com papel, envelopes, impressão e de pessoal.
Antes do V-Post, o cartorário emitia a carta de citação e intimação pelo sistema informatizado, providenciava a impressão e a assinatura manual. Na sequência, a carta era envelopada, colada e entregue ao setor administrativo para remessa aos Correios.
Com o V-Post, basta que o juiz assine digitalmente o despacho que determina a citação ou intimação por carta para que o sistema do Tribunal emita e envie automaticamente a carta virtual ao sistema dos Correios. Lá, ela será impressa e entregue ao carteiro. Após a entrega da carta, o comprovante será digitalizado pelos Correios e retornará virtualmente ao Tribunal, juntado eletronicamente ao processo para análise do cartório.
José Furian Filho, vice-presidente de Negócios da Empresa Brasileira de Correios e Telégrafos, explicou um pouco sobre o serviço e os benefícios que a parceria traz para o Tribunal. Trata-se de uma saudável parceria entre os Correios e o TJSP, destinada à modernização tecnológica do Poder Judiciário. Todo o ciclo se processa através da tecnologia da informação, garantindo a segurança e a confidencialidade das informações. V-post, batizado assim, é um serviço vitorioso e implementado em outros Estados mediante parceria com outros tribunais. Trará, com certeza, vários benefícios para o TJSP, tais como solução digital completa, relacionamento com um único fornecedor, garantia de segurança e confidencialidade, redução de custos dos cartórios e melhor aproveitamento dos recursos existentes, disse.
Feliz pela parceria celebrada com os Correios, o presidente do TJSP, desembargador Ivan Sartori, falou que a ferramenta permite um melhor aproveitamento da tecnologia voltada aos interesses do cidadão. Com essa parceria, os procedimentos se tornam muito mais céleres e fáceis. É a modernidade chegando. Nós tínhamos um modelo arcaico que demandava um período longo. Com o AR digital V-Post, conseguiremos efetivamente cumprir com rapidez essa etapa processual, que é uma etapa difícil e complicada. Essa parceria traz um novo alento para o Tribunal e a melhora dos nossos serviços.
(Disponível em http://www.tjsp.jus.br/Institucional/CanaisComunicacao/ Noticias/Noticia.aspx?Id=15379. Acesso em 22.08.2012. Com cortes)
O sentido do verbo ratificar, no título, é
A norma ISO/IEC 27002 define os padrões para a segurança da informação. Dentre as onze seções, a que trata do controle de acesso é a de número
Relativamente ao crime de Peculato, é correto afirmar que