Os catadores de uma cooperativa recolheram 14.000 latas de alumínio. Essas latas eram, exclusivamente, de cerveja, de sucos ou de refrigerantes. De cada 5 latas recolhidas, 2 eram de cerveja e, para cada 7 latas de refrigerantes, havia 3 latas de suco. Do total de latas recolhidas pelos catadores, quantas eram de suco?
Dona Maria foi à feira e comprou laranjas, bananas e maçãs. Pelo preço normal, o valor pago pelas laranjas, bananas e maçãs corresponderia a 25%, 35% e 40% do preço total pago, respectivamente.
Sabendo–se que a Dona Maria teve um desconto de 10% no preço das laranjas e 20% no preço das bananas, podemos afirmar que houve um desconto no valor total das compras de
Um número de dois algarismos é tal que, trocando-se a ordem dos seus algarismos, obtém-se um número que o excede de 27 unidades. Determine esse número, sabendo-se que o produto dos valores absolutos dos seus algarismos é 18.
A soma das idades dos amigos Pedro, José e Ivo é igual a 60. Sabe-se que a soma da idade de José com a diferença entre as idades de Pedro e Ivo (nesta ordem) é igual a 30 e que o dobro da idade de Pedro mais a idade de José, menos a idade de Ivo é igual a 55. Assim, a idade de José é
Todos os funcionários que trabalham em uma certa empresa ou são casados, ou são solteiros. Dos funcionários da empresa, 52% são homens e 28% são solteiros. Sabe-se ainda que o número de mulheres casadas é o dobro do de mulheres solteiras.
Conclui-se então que
Dois técnicos em eletricidade, Artur e Boni, trabalham em uma mesma empresa: Boni há 6 anos e Artur há mais tempo que Boni. Ambos foram incumbidos de instalar 16 aparelhos de áudio em alguns setores da empresa e dividiram a tarefa entre si, na razão inversa de seus respectivos tempos de serviço na mesma. Se Artur instalou 4 aparelhos, há quantos anos ele trabalha na empresa?
Uma doceira vende doce de coco em potes de dois tamanhos: 400 g e 250 g. Na última semana, ela vendeu 9,2 kg de doce de coco, acondicionados em 29 potes.
Quantos desses potes eram de 250 g?
Em fevereiro, Mário pagou, na conta de seu telefone celular, 264 minutos de ligações. Analisando a conta, ele percebeu que, para cada 3 minutos de ligações para telefones fixos, ele havia feito 8 minutos de ligações para outros telefones celulares. Quantos minutos foram gastos em ligações para telefones celulares?
Maria vende salgados e doces. Cada salgado custa R$ 2,00, e cada doce, R$ 1,50. Ontem ela faturou R$ 95,00 vendendo doces e salgados, em um total de 55 unidades.
Quantos doces Maria vendeu?
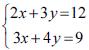
A soma dos valores de x e y que solucionam o sistema de equações
é igual a:
Sabe-se que daqui a 9 anos a soma da idade de Dagoberto com as de seus pais será 155 anos. Assim sendo, há 5 anos atrás quantos anos totalizavam as idades dos três?
Se um pai tem o triplo da idade de um filho e os dois somados têm 76 anos. Qual é a idade do pai?
Três meios da área do meu terreno correspondem a um quinto da área do seu. Nós dois, juntos, temos 3400 m2 de terrenos. Como o meu terreno é quadrado, qual o perímetro dele, em m?
Ao receber certa quantia, Fábio guardou R$ 252,00 e gastou o restante. Se a razão entre a quantia gasta e a recebida por Fábio é 7/9, quanto ele gastou?
Numa fazenda há ovelhas e avestruzes, totalizando 90 cabeças e 260 patas. Comparando-se o número de avestruzes com o das ovelhas, pode-se afirmar que há

Dois software, S1 e S2, são utilizados diariamente por
participantes de diferentes grupos de trabalho em certa empresa.
Um desses grupos de trabalho está interessado na fabricação de
dois produtos, P1 e P2; a fabricação de cada unidade de P1
requer 2 horas de utilização de S1 e 3 horas de utilização de S2,
enquanto a fabricação de cada unidade de P2 requer 3 horas de
utilização de S1 e 4 horas de utilização de S2. Foi decidido que,
por motivos estratégicos, o software S1 estará disponível a esse
grupo de trabalho por 12 horas por dia, enquanto o software S2
estará disponível por 9 horas diárias a esse grupo de trabalho. Os
pesquisadores desse grupo desejam saber quantas unidades de P1
e quantas unidades de P2 conseguem produzir nessas condições
diariamente e observaram que uma maneira de saber isso seria
Com base nas informações acima, julgue os itens a seguir.
A solução do sistema de equações lineares
fornece, de fato, uma possível quantidade a ser produzida de P1 e P2.
Sejam x, y e z três números inteiros. Sabe-se que x é igual ao dobro da soma de y com 5, enquanto z é igual à soma do dobro de y com 6. Qual é a diferença entre os valores de x e de z, nessa ordem?
Em uma comunidade indígena usam-se três unidades monetárias: o conto, a pila e a merreca. Sabe-se que 10 merrecas fazem 3 pilas e que 7 pilas fazem 2 contos. Portanto, 42 contos + 3 pilas é equivalente a:
Hoje, 50% da produção de uma fábrica de sucos é de suco de laranja e 50% é de suco de manga. Se a produção de suco de laranja aumentar em 10% ao mês e a de suco de manga aumentar em 20% ao mês, daqui a dois meses a porcentagem de suco de manga produzido, em relação ao total produzido no mês, será de aproximadamente: