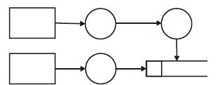
Observe a figura de parte de um Diagrama de Fluxo de Dados, apresentada abaixo, para responder às questões de nos 58 e 59.
Assim como um sistema, cada função pode ser entendida como uma caixa-preta que produz respostas a partir de estímulos predeterminados. A função "Diagnosticar paciente", mostrada no DFD parcial acima, será executada quando o paciente informar seus sintomas ao sistema. Isso é um exemplo de ocorrência de um evento classificado como
Conforme o que estabelece a metodologia para o Projeto e Análise Estruturada, o Diagrama de Fluxo de Dados - DFD é uma ferramenta de modelagem empregada no desenvolvimento de sistemas, que oferece uma visão orientada para:
DFD•
Acerca de análise estruturada de sistema e seu diagrama de fluxo de
dados (DFD), julgue os itens a seguir.
O diagrama de contexto pode ser considerado um DFD especial.
Num diagrama de fluxo de dados ? DFD,
No domínio do desenvolvimento de sistemas computacionais, análise refere-se ao estudo de um processo ou área de trabalho, levando quase sempre à especificação de um novo sistema. Com relação à metodologia Estruturada de Análise e Projeto, é correto afirmar que
O fluxo de dados, componente do DFD, é utilizado para mostrar o movimento de fragmentos ou pacotes de informações de um ponto a outro do sistema.
Os fluxos que se subdividem na saída de um processo para servir de insumo para outros processos são chamados:
A análise estruturada prevê o desenvolvimento do Diagrama de Fluxo de Dados como um dos seus principais documentos.
Esse diagrama é composto de fluxos que representam a comunicação entre
Observe a figura de parte de um Diagrama de Fluxo de Dados, apresentada abaixo, para responder às questões de nos 58 e 59.
O DFD apresentado acima faz parte de um sistema que permite ao usuário utilizá-lo gratuitamente por duas vezes. Na terceira utilização, o sistema desvia para a funcionalidade "Preencher dados de cobrança". O evento relacionado à execução dessa funcionalidade é classificado como
Considere um sistema de controle de estoque com
cadastramento de materiais e movimentação do estoque.
São necessários os seguintes cálculos automáticos: controlar
o saldo, o ponto de reposição e o lote econômico. O
cadastro de materiais é feito pelo almoxarife (responsável)
e as requisições são feitas por todos os departamentos
da empresa e ficam guardadas. A cada entrega
de material, o almoxarife dá baixa na requisição (atendida)
e, com isso, o sistema faz todos os cálculos acima.
A entrada de materiais também é feita pelo almoxarife,
quando os cálculos também são realizados. Os dados
calculados devem ficar guardados também e o tempo de
resposta de consultas feitas no cadastro de materiais não
deve exceder a 5 milissegundos (ms).
Em um DFD, Almoxarife, Requisição e Calcular Estoque são, respectivamente,
Considere:
EE = Entidade Externa.
D = Depósito de Dados.
PR = Processo (ou Função).
Em um Diagrama de Fluxo de Dados - DFD (modelagem funcional), NÃO é permitida a ligação
Em um Diagrama de Fluxo de Dados - DFD, como umas principais ferramentas para projeto e desenvolvimento de sistemas, sempre que ocorre um desmembramento das entidades em outras com conseqüente aumento do diagrama, deve ser garantida a consistência entre as entradas e saídas de cada dois níveis sucessivos. Essa garantia está associada ao conceito de:
Sobre o Diagrama de Contexto em um Diagrama de Fluxo de Dados-DFD na Análise Estruturada, pode-se afirmar que:
Relacionado a um processo representado em DFD Diagrama de Fluxo de Dados,
I. devem conter no mínimo um fluxo de entrada e um fluxo de saída de dados.
II. deve existir pelo menos uma fonte de dados ou um destino de dados.
III. pode conter um ou mais fluxos de apenas entrada de dados.
IV. pode conter um ou mais fluxos de apenas saída de dados.
Está correto o que se afirma APENAS em
Um sistema de informação que fornece um arquivo para ser tratado pelo sistema objeto da modelagem, utilizando DFD da análise estruturada, é caracterizado como

O DFD acima representa um trecho da modelagem de um cadastro de diagnóstico médico. Com base nas informações apresentadas no diagrama, afirma-se que o(a)
Considere o Diagrama de Fluxo de Dados (DFD) abaixo.
Assinale a alternativa que indica a quantidade correta dos seguintes elementos: entidades externas, fluxos de dados, processos e depósitos de dados, nesta ordem.
DFD•
Acerca de análise estruturada de sistema e seu diagrama de fluxo de
dados (DFD), julgue os itens a seguir.
Os depósitos de dados são os elementos de um DFD que representam os dados armazenados pelo sistema e que necessariamente são implementados em sistemas de bancos de dados.
Os formulários preenchidos por usuários e as atividades para digitação e consistência dos dados destes formulários são representados em DFD, respectivamente, pelos símbolos
Julgue os próximos itens, acerca da modelagem funcional e de
dados.
O uso de um diagrama de fluxo de dados é adequado para demonstrar a interdependência das funções que compõem um sistema.
DFD•
Acerca de análise estruturada de sistema e seu diagrama de fluxo de
dados (DFD), julgue os itens a seguir.
A representação de um sistema por meio de DFD é feita em níveis, de forma que cada nível contenha, sucessivamente, mais detalhes sobre uma parte do nível anterior.