Uma loja no centro de Curitiba está promovendo uma liquidação de roupas. O preço de duas camisas e três calças é de R$ 111,00, e o preço de três camisas e quatro calças é de R$ 154,00. Qual seria o valor a ser gasto em uma compra de uma camisa e duas calças?
Em um teste de qualidade de combustível, verificou-se que em 200 litros de gasolina havia 25% de álcool. Para ficar dentro das especificações do teste era necessário conter apenas 20% de álcool. Então, a quantidade de gasolina pura que deve ser acrescentada a esta mistura de modo a ficar dentro dessa especificação é:
Os salários de Flávia e Marta correspondem, em reais, a números diretamente proporcionais a 3 e 5, respectivamente. A soma dos salários das duas é igual a R$ 880,00. Julgue os itens que se seguem, acerca dessa situação.
O salário de Flávia é inferior a R$ 300,00.
Considerando que, na compra de material escolar, uma pessoa
gastou entre R$ 125,00 e R$ 135,00 comprando cadernos e
frascos de corretor líquido, em um total de 10 unidades dos 2
produtos, que cada caderno custou R$ 15,00 e que cada frasco de
corretor líquido custou R$ 5,00, julgue os itens seguintes.
Com o que foi gasto com os cadernos seria possível comprar determinada quantidade de frascos de corretor líquido, e essa quantidade é inferior a 25.
Durante o trabalho num campo de flores, uma abelha operária disse a outra: "Se eu te passar um dos potes de pólen que carrego, ficaremos com cargas iguais; mas, se você me passar um dos potes que carrega, minha carga ficará sendo o dobro da sua". Supondo que todos os potes sejam iguais, se a quantidade de potes carregados pela primeira abelha é P e pela segunda abelha é Q, quanto vale o produto (P.Q)?
A razão entre os salários de Chande e Elisa é igual a 3/8 e a soma de seus salários é igual a R$ 2.475,00.O salário de Chande é igual a:
Em certo ano, determinada cooperativa conseguiu vender a caixa de laranja ao preço de R$ 6,00 na safra e de R$ 13,00 na entressafra, tendo arrecadado um total de R$ 880.000,00 pela venda de 100 mil dessas caixas. Nesse caso, denominando-se por x e y, respectivamente, as quantidades de caixas vendidas pela cooperativa na safra e na entressafra, as equações que modelam adequadamente a situação descrita são x + y = 100.000 e
Com relação a essa situação hipotética, julgue os itens que se seguem.
O número de vagas para profissionais de nível médio no referido concurso será superior a 10.
Se a soma de três números naturais consecutivos é igual a 72, então a soma de seus quadrados é inferior a 1.700.
Supondo que, na construção de uma laje, tenham sido gastos 8 m3, somados os volumes de areia e brita utilizados, e sabendo que o metro cúbico de areia e o de brita custaram, respectivamente, R$ 142,00 e R$ 48,00 e que foram gastos R$ 666,00 na compra desses 2 produtos, julgue os itens seguintes.
Na compra de brita, foi gasto valor inferior a R$ 238,00.
Da folha de pagamento mensal de uma empresa, R$ 30.000,00 são destinados ao pagamento dos salários dos 8 empregados de nível A e dos 15 empregados de nível B. Sabendo que a diferença salarial de um empregado de nível A para um empregado de nível B é de R$ 300,00, julgue os itens seguintes.
A soma dos salários de um empregado de nível A e de um empregado de nível B é inferior a R$ 2.500,00.
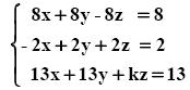
Dado o sistema
qual o valor de k, para que o sistema seja possível e determinado?
Um retângulo tem 21 cm de perímetro e 20 cm2 de área. Quanto medem seus lados?
As plataformas P-31, P-34 e PPG-1, em operação na bacia de Campos, produzem 60.000, 190.000 e 200.000 barris de óleo por dia e 2.900, 500.000 e 700.000 m³ de gás por dia, não necessariamente nessa ordem. Sabe-se, também, que a
P-31 produz 2.900 m³ de gás por dia;
PPG-1 produz 190.000 barris de óleo por dia;
PPG-1 não produz 500.000 m³ de gás por dia;
P-34 não produz 200.000 barris de óleo por dia.
Com base nessas informações, julgue os itens que se seguem.
A plataforma P-34 produz 500.000 m³ de gás por dia.
Maria tem 20 cédulas, algumas de 5 reais e outras de 10 reais, perfazendo um total de 165 reais. Quantas cédulas de 5 reais e quantas cédulas de 10 reais Maria tem?
Em uma caixa há, ao todo, 130 bolas, sendo algumas brancas e as demais, pretas. Se 10 bolas pretas forem retiradas da caixa e 15 bolas brancas forem colocadas, o número de bolas pretas dentro da caixa excederá o de bolas brancas em 5 unidades. Quantas bolas brancas há dentro dessa caixa?
Em uma Olimpíada de Matemática foi proposto o seguinte problema: Um Professor de Matemática tem 4 filhas. Em uma de suas aulas, ele propôs a seus alunos que descobrissem o valor da expressão ac + ad + bc + bd sendo que a, b, c, d são as idades de suas filhas em ordem crescente. Como informação complementar, o Professor disse que a soma das idades das duas filhas mais velhas é 69 anos e a soma das idades das duas filhas mais novas é 44 anos. O valor numérico da expressão proposta pelo Professor é de:
Durante o mês o auxiliar usou 19 litros de detergente a mais do que os litros de água sanitária. O gasto total dos dois produtos foi de 81 litros. O consumo de detergente foi de ____.
Os policiais da delegacia de defesa do consumidor apreenderam, em um supermercado, 19,5 kg de mercadorias impróprias para o consumo: potes de 150 g de queijo e peças de 160 g de salaminho.
Com base nessa situação, julgue os itens a seguir.
Se 80 potes de queijo foram apreendidos, então foram apreendidos menos de 8 kg de salaminho.