O limite da função f(x) = x4 ? x3 ? 6x2 ? 8, quando x tende ao infinito positivo, é:
Dada a função f:R ? R definida por f(x) = ln(3x + 1), o valor de
é
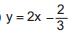
O gráfico da função
definida por
possui uma assíntota oblíqua, cuja equação é:
Indique o limite do quociente de sen x por x, quando
Considere a sequência infinita 
Qual é o seu limite quando n ? 8 ?
Os valores limites da função seno são:
Considere a sequência infinita
.
Qual é o seu limite quando n ? ? ?
O limite da função f(x) = (x2 ? 4x + 4) / (x ? 2) quando x tende a 2:
Considere a sequência infinita 
Qual é o seu limite quando n ? ?