Em relação ao IFRS assinale a opção FALSA:
Com relação à Gestão de Pessoas, pode-se afirmar como corretas as afirmativas abaixo, EXCETO:
São características da administração sistêmica, EXCETO:
Analise as afirmativas abaixo e responda ao que se pede:
I - Administração sistêmica é o processo administrativo de reunir ou combinar todas as partes integrantes de um sistema global para alcançar determinados objetivos.
II - Na administração sistêmica, as partes têm prevalência sobre o todo, pois devem estar intimamente relacionadas entre si, por meio de suas respectivas entradas e saídas, visando ao objetivo maior do sistema.
III - A administração sistêmica procura fazer com que todos os órgãos da empresa trabalhem em conjunto para obter efeitos de sinergia.
Baseando-se na análise das afirmativas, assinale a opção CORRETA:


The correct passive voice form for the sentence Your body needs energy to work normally and keep you alive. is
De acordo com o diagrama do esquema do banco de dados relacional abaixo, responda às questões de 47 a 51.
De acordo com o diagrama do esquema de banco de dados relacional, analise as seguintes afirmativas.
I. Na relação DEPOSITANTE, o atributo id_cliente é chave estrangeira e faz parte da chave primária juntamente com o atributo num_conta.
II. Na relação EMPRESTIMO, o atributo num_conta é chave primária.
III. Na relação AGENCIA, o atributo id_agencia é chave primária.
Marque a alternativa CORRETA:
NÃO diz respeito aos conceitos básicos de macroeconomia:
Certa mercadoria, cujo preço era R$80,00, passou a custar R$90,00.
É CORRETO afirmar que o preço dessa mercadoria sofreu um reajuste
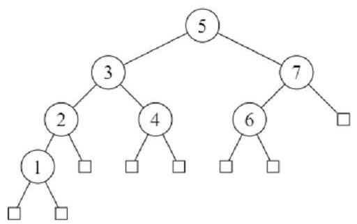
De acordo com a árvore de pesquisa abaixo, analise as seguintes afirmativas:
I. A árvore de pesquisa é binária.
II. Percorrer a árvore, usando caminhamento central recupera as chaves 1, 2, 3, 4, 5, 6, 7, nesta ordem respectiviamente.
III. A árvore de pesquisa está balanceada.
Marque a alternativa CORRETA:
Em relação aos conceitos da tecnologia JavaServer Faces (JSF), analise as seguintes afirmativas:
I. JSF fornece um conjunto de componentes de interface de usuário componentes JSF que ajudam na construção de páginas Web.
II. Os componentes JSF podem ser adicionados a páginas JSP por meio das bibliotecas de tags personalizadas (tag libraries).
III. Além dos componentes básicos, existem bibliotecas nativas de componentes JSF adaptados para interfaces Swing e AWT, por exemplo.
Marque a alternativa CORRETA:
Então, é CORRETO afirmar que, com os mesmos 30 metros de tecido, é possível fabricar:
Instruções: Caro candidato, a seguir, você encontrará sete textos. O primeiro, uma xilograf a, do artista Katsushika Hokusai; o segundo, uma charge de João Montanaro, jovem cartunista de 15 anos, publicada no jornal Folha de S.Paulo, que provocou grande repercussão, com opiniões favoráveis a ela e contra ela. O terceiro e o quarto, cartas de leitores sobre a charge de Montanaro. O quinto, um comentário crítico (texto adaptado) de Diogo Bercito, também publicado na Folha. O sexto, charge de Angeli, retirada do google, também impressa na Folha. O sétimo, publicação no site http://notapajos.globo.com/lernoticias. asp, sobre piadas desagradáveis relativamente ao tsunami vivido pelos japoneses. Leia os textos de I a VII com atenção. As questões de número 01 a 13 referem-se a eles; consulte-os sempre que necessário. 







Assinale a alternativa que NãO apresenta informação correta no que se refere à coesão textual que se verifica no trecho em destaque, parte do texto de Diogo Bercito.

BDMG•
Para responder as questões de 77 a 80 tenha como
base a doutrina.
Marque a afrmativa INCORRETA:
É CORRETO afirmar que a probabilidade de não haver vencedores é de
I - Administração sistêmica é o processo administrativo de reunir ou combinar todas as partes integrantes de um sistema global para alcançar determinados objetivos.
II - Na administração sistêmica, as partes têm prevalência sobre o todo, pois devem estar intimamente relacionadas entre si, por meio de suas respectivas entradas e saídas, visando ao objetivo maior do sistema.
III - A administração sistêmica procura fazer com que todos os órgãos da empresa trabalhem em conjunto para obter efeitos de sinergia.
Baseando-se na análise das afirmativas, assinale a opção CORRETA: