Considere duas matrizes de segunda ordem, A e B, sendo que B = 2 1/4 A. Sabendo que o determinante de A é igual a 2-1/2, então o determinante da matriz B é igual a:
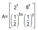
Considere as matrizes abaixo:
O valor de x para que det 

Qual o valor de x/y, considerando que o determinante da matriz A, representada acima, é nulo?
Dado A, obtenha o det(A) e assinale a alternativa correta: A = (2 3
4 6)
Seja A uma matriz n x n real e sua transposta At tal que A = At. Considere as afirmações abaixo:
I. Se n é par det(A) ? det(At)
II. Se n é ímpar det(A) = 0
III. det(At) = (- 1)n det(A)
Considerando V para afirmação verdadeira e F para afirmação falsa para a sequência I, II e III acima, marque a alternativa correta:
Se A é uma matriz quadrada invertível, então
O determinante da matriz