Indique o componente da ideologia organizacional que deve ser considerado “a razão de existir da organização”.
Indique o componente da ideologia organizacional que deve ser considerado “a razão de existir da organização”.
Teoria da administração que enfatiza que não há nada de absoluto nas organizações ou nas teorias administrativas. “Tudo depende de...”. Tal abordagem explica que existe uma relação funcional entre as condições do ambiente e as técnicas administrativas apropriadas para o alcance eficaz dos objetivos da organização. Assim, pode-se afirmar que condições e situações diferentes exigem técnicas diferentes de administrar.
Estas afirmativas pertencem à
Primeira afirmativa:
O planejamento estratégico é o processo de elaborar a estratégia – trata-se de um conjunto de grandes decisões tomadas pelo grupo diretivo. Os planos táticos se dão normalmente no nível gerencial e geralmente consistem em operacionalizar as grandes decisões estratégicas. Já os planos operacionais representam a materialização das decisões estratégicas e táticas. Assim, comprar uma nova empresa, definir uma nova linha de produtos ou a nova estrutura organizacional, e decidir se vai comprar de um fornecedor ou de outro, bem como a política de preços da empresa, são consideradas decisões que compreendem o planejamento estratégico e os planos tático e operacional, respectivamente.
Segunda afirmativa:
Tais decisões caracterizam-se por ter influência no longo prazo e por impactar a organização como um todo; por impactar no médio prazo e sua extensão reduzir-se a um conjunto de áreas ou setores da organização; e por ter impacto, em teoria, no curto prazo e sua extensão afetar área ou setor específico, respectivamente.
A respeito dessas duas afirmativas, é correto afirmar que:
Primeira afirmativa:
A cultura organizacional pode desenvolver disfunções, que prejudicam a capacidade de resolver os problemas de convivência interna e adaptação externa. Dificuldade de entender e processar mudanças ambientais, resistência generalizada à necessidade de mudança interna, dificuldade de aceitar outras culturas e pontos de vista alheios e tendência a subestimar outros grupos, especialmente concorrentes e clientes são exemplos de disfunções da cultura.
Segunda afirmativa:
Disfunções na cultura organizacional são desvios no comportamento coletivo, que fazem o papel de degenerações sociais. Assim como a própria cultura, as disfunções não são percebidas pelos membros do próprio grupo ou organização.
A respeito dessas duas afirmativas, é correto afirmar que:
A respeito do terceiro setor, analise as afirmativas abaixo, classificando-as como verdadeiras ou falsas.
Ao final, assinale a opção que contenha a sequência correta.
( ) Integram o terceiro setor as pessoas jurídicas de direito privado, sem fins lucrativos, que exercem atividades de interesse público, não exclusivas de Estado, recebendo fomento do Poder Público.
( ) As entidades do terceiro setor integram a Administração Pública em sentido formal.
( ) O terceiro setor coexiste com o primeiro setor, que é o próprio Estado e com o segundo setor, que é o mercado.
( ) Integram o terceiro setor as organizações sociais de interesse público e as organizações sociais.
I. Liderança Autocrática
II. Liderança Liberal
III. Liderança Democrática Representam a participação dos líderes:
A. O líder não faz nenhuma tentativa de avaliar ou regular o curso das coisas. Faz apenas comentários quando perguntado.
B. O líder é pessoal e dominador nos elogios e nas críticas ao trabalho de cada um.
C. O líder procura ser um membro normal do grupo. É objetivo e estimula com fatos, elogios ou críticas.
Marque a opção que relaciona corretamente o estilo de liderança à participação do líder.
Em relação ao gerenciamento da qualidade, das opções seguintes, aquela que só contém ferramentas de controle de qualidade é:
Dois dados de seis faces são lançados simultaneamente, e os números das faces voltadas para cima são somados. A probabilidade da soma obtida ser menor do que cinco ou igual a dez é igual a:
Em relação aos princípios tributários encartados na Constituição Federal, assinale a opção incorreta.
I. A avaliação de desempenho é um tema que há muito tempo tem sido objeto de estudo na área de gestão de pessoas, embora na prática organizacional ainda seja uma questão bastante controvertida. Avaliar é algo difícil, mas extremamente necessário.
II. A avaliação de desempenho é um instrumento que permite avaliar a atuação da força de trabalho, objetivando prever comportamentos futuros e levando em conta o potencial humano disponível nas organizações.
III. As causas do mau desempenho no trabalho são devidas unicamente ao trabalhador.
IV. Os erros mais comuns em uma avaliação de desempenho são o efeito halo, a leniência, o erro de tendência central, a falsidade e o critério único.
São regras de avaliação de produtos OLAP:
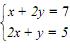
A soma dos valores de x e y que solucionam o sistema de equações
é igual a:
Os Fundamentos da Excelência expressam esses conceitos reconhecidos internacionalmente e que são encontrados em organizações líderes de Classe Mundial. Além disso, o MEG utiliza o conceito de aprendizado e melhoria contínua, segundo o ciclo:
Suponha que um avião levanta voo sob um ângulo de 30o . Depois de percorrer 2.800 metros em linha reta sob o mesmo ângulo da decolagem, a altura em que o avião está do solo em relação ao ponto em que decolou é igual a:
1. A capacitação tem por objetivo desenvolver as competências das quais funcionários e gestores necessitam para lidar de maneira eficaz uns com os outros e com os clientes em um ambiente diversificado.
2. A maioria das competências ensinadas é interpessoal, como escutar ativamente e fornecer coaching e feedback. Sob condições ideais, usa-se a avaliação organizacional para determinar quais competências devem ser ensinadas, ajustando o treinamento às questões empresariais especificamente identificadas.