Com relação à Lei n.º 4.011/2007, assinale a alternativa correta.
Com relação às infrações previstas no Código de Trânsito Brasileiro, assinale a alternativa correta.
Com fundamento na legislação distrital que dispõe sobre produção, fiscalização e destino final de agrotóxicos, entre outros, Lei n.º 414/1993, assinale a alternativa correta.
A respeito dos fundamentos da organização do Distrito Federal (DF), assinale a alternativa correta.
O valor cobrado pelo Estado do particular, por meio de contrato e sob regime de direito privado, pela exploração de serviços públicos é um(a)



Based on the text II, mark the correct alternative.
A respeito de sujeito ativo e passivo da obrigação tributária, assinale a alternativa correta.
Segundo a Teoria da Tributação, é correto assumir que um sistema tributário ótimo depende
Assinale a alternativa incorreta quanto a gestão por resultados e mudanças institucionais na administração pública.
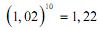
Após manter, durante 10 meses, seu capital de R$ 50.000,00 aplicado a uma taxa de 2% ao mês, um investidor resolve movimentar o montante acumulado nesse período para outro fundo, cuja rentabilidade é de 2,3% ao mês. Considerando que toda a operação ocorreu dentro do regime de juros compostos e que
e
, o saldo desse investidor, após 8 meses da segunda aplicação, será de
Assinale a alternativa que apresenta os sistemas utilizados para fazer o lançamento de uma compra mediante a transferência de recursos de convênio, de uma máquina industrial por R$ 20.000,00.
Em 1.º/1/20X1, uma empresa tinha R$ 100.000,00 de saldo devedor na conta clientes e R$ 3.000,00 de saldo credor na conta provisão para devedores duvidosos (PDD). Em 31/12/20X1, o saldo na conta clientes era de R$ 75.000,00 e, daqueles R$ 100.000,00 existentes em 1.º de janeiro, a empresa, durante o exercício, recebeu R$ 98.000,00. Considerando que a empresa sempre aplica o percentual de 3% para constituição da PDD no final do exercício e que, na demonstração do resultado do exercício, não consta nenhum valor para reversão de PDD, assinale a alternativa correta.
Assinale a alternativa que apresenta as categorias que constituem a classificação por programas.
A atividade negativa que impõe sempre uma abstenção ao administrado (obrigação de não fazer) caracteriza
Com base na Lei n.º 4.320/1964, em relação ao balanço patrimonial das entidades do setor público, o Conselho Federal de Contabilidade estabelece que
Na operação em que uma empresa compra um veículo à vista, observa(m)-se o(s) fato(s) contábil(eis)
Com relação ao fato gerador de obrigação tributária, assinale a alternativa correta.
A respeito das condições ambientais das edificações no Distrito Federal, é correto afirmar, segundo a Lei n.º 41/1989, que
Assinale a alternativa correta quanto à competência tributária de estados e municípios.
Considere as frases a seguir e assinale a alternativa que completa correta e respectivamente a definição dos princípios orçamentários.
O __________ estabelece que os valores autorizados para a realização das despesas no exercício deverão ser compatíveis com os valores previstos para a arrecadação das receitas.
O __________ prega que todas as receitas e despesas devem constar da lei orçamentária pelos seus totais, vedadas quaisquer deduções.
Os Princípios Orçamentários são fundamentos que norteiam a prática orçamentária. Para evitar que "matérias estranhas" à fixação da despesa e previsão da receita fossem adicionadas ao corpo da lei orçamentária, foi estabelecido __________.