A empresa X possui um ativo total de R$ 2.400,00, o qual proporcionou um lucro operacional no exercício de R$ 600,00. Considerando o valor do capital próprio de R$ 400,00 e a taxa de empréstimos de 20%, é correto afirmar que a rentabilidade sobre o investimento e o grau de alavancagem financeira, desprezando-se os centavos, são, respectivamente,
(São Paulo, 21/7/2009) Os 89 contêineres cheios de lixo enviados da Inglaterra ao Brasil devem ser enviados de volta nos próximos dias. Cerca de 1.600 toneladas de dejetos, incluindo seringas, banheiros químicos, fraldas sujas e até lixo tecnológico, como computadores e televisores, foram descobertos nas últimas semanas. Foram aplicadas multas de até 800 mil reais a três empresas brasileiras que importaram a carga. As importadoras deverão ainda arcar com os custos para o transporte do lixo de volta à Inglaterra. São estudadas sanções às exportadoras. 
Acerca da temática abordada no fragmento e outros temas que a ela se relacionam, assinale a alternativa incorreta.
Quanto aos conceitos de Ciência Política, Administração Pública, governabilidade, governança e intermediação de interesses, assinale a alternativa incorreta.
Calcule o prazo de uma operação de desconto simples racional, efetuada em um título de R$ 8.560,00, a uma taxa mensal de 3%, sabendo que o valor do desconto foi de R$ 560,00.
Dados do DETRAN mostram que, em 2008, das 1.063 vítimas de acidentes envolvendo ônibus, 1.013 tiveram apenas ferimentos e 50 perderam a vida.
O quadro a seguir mostra o perfil das pessoas que morreram: 
De acordo com os dados apresentados, escolhendo-se aleatoriamente uma vítima fatal, a probabilidade de ela ser um pedestre é de
A empresa Gama S.A., foi constituída em dezembro de 2008, com o capital de R$ 100.000,00, totalmente integralizado em dinheiro. Neste período, comprou um veículo a prazo no valor de R$ 10.000,00 e também financiou um imóvel para uso no valor de R$ 50.000,00. Ao prestar serviços para terceiros, a empresa recebeu a importância de R$ 15.000,00 e, no mesmo período, pagou salários e outras despesas no montante de R$ 18.000,00. Em relação a essa situação hipotética, assinale a alternativa correta.
A respeito do Estado, julgue os itens a seguir e assinale a alternativa correta.
I O Estado Federal é uma organização formada sob a base de uma repartição de competências entre o governo nacional e os governos estaduais, de sorte que a União tenha supremacia sobre os estados- membros, e estes sejam entidades dotadas de autonomia constitucional perante a mesma União.
II O Estado Federal é o Estado Padrão. A teoria clássica da soberania nacional foi concebida em referência a essa forma normal de Estado, e as características da soberania unidade, indivisibilidade, imprescritibilidade e inalienabilidade só ao Estado Federal se aplicam integralmente.
III A discussão acerca da alteração do pacto federativo no Brasil está intimamente ligada com a divisão de prerrogativas e responsabilidades entre os Entes Federados e os recursos para dar efetividade a essas prerrogativas e prestar os serviços públicos delas decorrentes.
IV O Estado Federal possui território próprio, população própria e soberania própria.
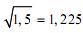
Um capital de R$ 12.000,00 é aplicado a juros compostos, durante 2 anos, produzindo um montante igual à R$ 18.000,00. Considerando que
e
, qual a taxa mensal de juros?
Acerca da Lei de Orçamento Anual, assinale a alternativa incorreta.
Para construir cada peça de um determinado modelo, um artesão utiliza cinco pedaços de fio de cobre com os seguintes comprimentos: dois pedaços de 25 cm, dois de 30 cm e um de 40 cm, que são cortados de um mesmo rolo. Assinale a alternativa que apresenta um comprimento total de fio, em metros, que um desses rolos deve ter antes de ser utilizado, para que não haja desperdício após os recortes e não sobrem pedaços de fio sem utilizar após a confecção de todas as peças construídas.
Vivemos em uma época de grandes ondas de migração internacional. De acordo com a Organização das Nações Unidas (ONU), cerca de 3% da população do mundo vive longe do país em que nasceu. O número de imigrantes dobrou nas últimas três décadas e superou o patamar dos 190 milhões em 2005, todos à procura de oportunidades de trabalho ou em fuga de conflitos armados.
Atualidades Vestibular, abril/2009, p. 124.
Tomando o texto como referência inicial, assinale a alternativa incorreta.
>



Considering the context, in the sentence collecting data about the contingent of public servants the word data cannot be understood as a synonym with
Assinale a alternativa que não constitui característica das entidades descentralizadas.
Assinale a alternativa que apresenta os lançamentos a serem realizados no Sistema Orçamentário pelo pagamento de uma dívida fundada ou consolidada no valor de R$ 50.000,00.
Em relação à Lei Orçamentária Anual (LOA), assinale a alternativa incorreta.
Quanto a impostos, taxas e contribuições, assinale a alternativa correta.
A exploração do açaí é de fundamental importância para as economias dos estados do Pará, Maranhão, Amapá, Acre e Rondônia, especialmente para o primeiro e o terceiro, pois responde pela sustentação econômica das populações ribeirinhas. Um colhedor de açaí pode juntar 300 quilos desse fruto por dia com uma jornada de trabalho de 8 horas. Cada fruto tem 1 g, sendo necessários cerca de 2,5 kg de frutos para produzir 1 L de suco de açaí. Os frutos, após a colheita e debulha manual, são acondicionados, rusticamente, em cestos, feitos com fibras vegetais, com capacidade para comportar 15 ou 30 kg de frutos. Cada 100 g de suco de açaí equivalem a 247 quilocalorias, 118 mg de cálcio e 11,8 mg de ferro. 
Assinale a alternativa correta de acordo com essas informações.
Em relação à proposta orçamentária que o Poder Executivo encaminha ao Poder Legislativo, no tocante ao seu conteúdo e à sua forma, assinale a alternativa incorreta.
Assinale a alternativa que completa correta e respectivamente as lacunas.
Calculada a Taxa Interna de Retorno (TIR) de um projeto, este será aceito se a taxa encontrada for ____________ à taxa de retorno exigida pelo investidor e rejeitado se for _____________ a essa taxa. Havendo mais de um projeto disponível que possa ser aceito, a escolha recairá naquele de ___________ TIR.
BRIC•
Brics acenam com mudanças em divisas,
mas não descartam de vez o dólar (Da Agência EFE, 16/6/2009) As quatro grandes economias emergentes que integram o Bric (Brasil, Rússia, Índia e China) pediram nesta terça-feira um sistema de divisas mais diversificado, estável e previsível, mas não descartaram de vez o dólar.
No comunicado final após a primeira cúpula formal na cidade russa de Ecaterimburgo, nos Urais, o Bric defendeu um mecanismo mais democrático e transparente de tomada de decisões nas organizações financeiras multilaterais.
Participaram da cúpula o presidente Luiz Inácio Lula da Silva, os governantes de Rússia, Dmitri Medvedev; da China, Hu Jintao e o primeiro-ministro da Índia, Manmohan Singh, cujos países concentram 40% da população mundial. 
Tomando o texto como referência inicial, assinale a alternativa incorreta.